Environment & Energy
Related: About this forumThose swell hot peppers you eat and its effect on the treatment of sewage sludge.
With my particular somewhat dissident environmental viewpoint, I hear a lot from people, who in my opinion can't think very clearly, about so called "nuclear waste." When I ask these people to demonstrate that used nuclear fuels in the 70 year history of their accumulation have killed as many people as will die in the next three hours from dangerous fossil fuel (and biomass) combustion waste, aka, "air pollution," they generally go away (preferred) or change the subject. The dead toll in a three hour period, any three hour period, from air pollution is, on average, about 56,000 people, more people than Covid killed on its worst day.
We are not doing a damned useful thing to address air pollution or its related manifestation climate change other than to tell ourselves sweet lies.
The second largest waste related cause of fatality on this planet is septic waste. About 800,000 people are killed each year, most of them children, from diarrheal diseases and other diseases related to exposure to fecal waste; about 1.7 billion people lack access to any kind of improved sanitation.
WHO: Sanitation Fact Sheet.
Facts matter.
In the Western World, we do have improved sanitation systems and most of them, including septic systems, rely on biological remediation of wastes.
I personally have a specialized aerobic septic system installed in my house; it's somewhat eccentric, like me, but it's generally a novel approach. Most biodigestion systems of fecal matter are anaerobic, relying on bacteria and fungi to which air is toxic.
It is thus with interest that I came across this paper this morning:
Mitigation of the Toxicity of Capsaicin on Anaerobic Codigestion of Food Waste and Waste Activated Sludge Using Calcium Peroxide: A Comprehensive Analysis Using Computational and Biological Approaches Mingting Du, Xuran Liu, Qing Xu, Qi Lu, Chenxi Li, Qizi Fu, Dandan He, Jingnan Yang, Abing Duan, and Dongbo Wang ACS Sustainable Chemistry & Engineering 2023 11 (4), 1448-1458.
In the happy days when I was a lab rat, my colleagues and I had occasion to work with pure capsaicin. We had a small five or ten gram bottle. If someone opened it anywhere in the lab outside of the hood, and even at times inside the hood, everyone in the room knew it. The bottle had all kinds of warning labels on it.
Capsaicin is the chemical of the biologically synthesized in hot peppers that makes them "hot." Extremely spicy peppers are relatively rich in this chemical.
Many of the spices used by humanity were not originally utilized for their taste, but rather for their ability to preserve foods in the times before refrigeration. The fondness for the taste followed on this use. At the edge of starvation, preserved food cannot taste bad.
I don't have a lot of time tonight. I have some important meetings tomorrow and am struggling with insomnia, but here's an excerpt of a somewhat surprising - although it might have been obvious if one reflected for a moment - on the effect of capsaicin on sewage treatment:
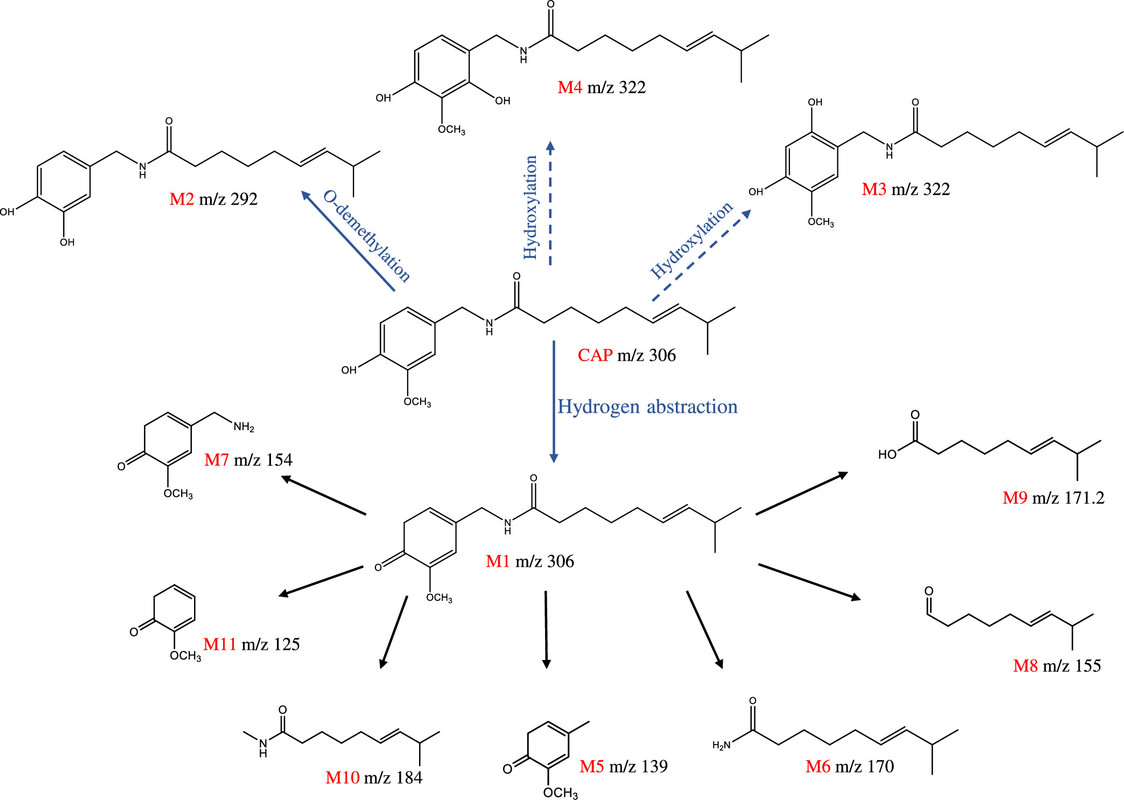
Capsaicin, the pungent and principal component of capsicum species, is widely used in food cooking and then accumulated in FW. (9,10) Due to dietary habits, some regions of the world, such as southwestern China, Southeast Asia, and Latin American countries, have high levels of capsaicin in FW. According to the report, the capsaicin concentration in FW is up to 25 g/kg. (11) Recently, some efforts have been made in investigating the effect of capsaicin on anaerobic digestion. Li et al. found that when the capsaicin concentration increased from 0.7 to 11.1 g/kg kitchen waste, the maximum methane production decreased from 13.5 to 9.9 mL/(g·VS·h). In addition, when the capsaicin concentration was less than 1% by weight, the methane production was obviously inhibited. (12) Further investigation indicated that the mechanism of inhibition is altered key kinases and induced apoptosis. (11) Previous studies have verified that capsaicin could be degraded slowly by some microbes in nature. (13,14) It is reported that capsaicin could be metabolic by Aspergillus oryzae by ω-hydroxylation, alcohol oxidation, hydrogenation, and isomerization during fermentation. (14) Zhu et al. found that the main oxidative biotransformation pathways of capsaicin by cytochrome P450s from two pests were alkyl hydroxylation and dehydrogenation. Studies have shown that capsaicin can degrade in natural processes, but it does not completely mineralize. Its degradation intermediates may cause some toxicity to the anaerobic digestion process. Therefore, it is necessary to completely degrade capsaicin to mitigate its inhibition on anaerobic codigestion.
Calcium peroxide (CaO2), one of the solid peroxides, is strongly basic when dissolved in hydrous media. In the water phase, CaO2 would release oxygen and Ca(OH)2, while generating hydrogen peroxide (H2O2), hydroxyl radicals (OH), and superoxide radicals (O2) as intermediates; thus, it is considered a solid form of H2O2. (15) Owing to these unique chemical properties, CaO2 has been widely applied in soil decontamination, solid waste treatment, and micropollutant removal. (16,17) For example, it is reported that the OH and O2 produced by CaO2 promote the quality of the dissolved organic matter in the liquid phase. (18) Our previous study found that when the addition of CaO2 increased to 0.14 g/g volatile suspended solids (VSS), the methane yield increased by 45.7% and further indicated that CaO2 accelerated the decomposition of refractory organic matter including humics and lignocellulose in waste activated sludge (WAS). (19) Furthermore, Fu et al. found that CaO2 not only accelerated the removal of tetracycline but also increased the relative abundance of microorganisms involved in the degradation of complex substrates. (17,20) Considering the negative effect of capsaicin on AcoD of FW and unique features of CaO2, it is hypothesized that adding CaO2 to the anaerobic digestion of FW would not only eliminate the inhibitory effect of capsaicin but also further enhance the yield of methane. Furthermore, it is essential to explore the interaction mechanism of capsaicin and CaO2.
Therefore, the purposes of this study were (1) to explore the mechanism of limited CaO2 addition on the degradation of capsaicin; (2) to identify the radical oxygen species and evaluate the contribution of main derivatives of CaO2 (i.e., Ca2+, OH, OH, and O2) to the capsaicin degradation; (3) to propose the degradation pathways of capsaicin and to verify the molecular reaction mechanism of capsaicin with CaO2 using density functional theory (DFT) calculation; and (4) to evaluate the effect of key enzyme activities in AcoD after CaO2 pretreatment. This study provided in-depth insights into the degradation mechanism of capsaicin by CaO2 and proposed an efficient strategy for simultaneous detoxification of capsaicin and increase of methane production during AcoD...
A figure from the paper:

The caption:
The m/z numbers are of relevance to mass spectroscopy analysis, my absolutely favorite analytical chemistry technique.
There's a lot of cool stuff in this paper; regrettably I will not have time to discuss it.
I wish you a pleasant Friday.
3Hotdogs
(15,367 posts)Taking a dump after habinero is good or bad?
NNadir
(38,035 posts)After that it's not your problem, but downstream it's a big problem apparently.
In our culture, unfortunately, we don't care very much about other people's problems.
It's a problem that people don't want to discuss, of course, an "unmentionable," but one with huge implications.
As for peppers and sewage, the problem can be addressed, which is the point of the paper. Whether it is addressed is another matter entirely.
Here's a book for popular consumption that I read some time ago and couldn't recommend more to people interested in this issue:
The Big Necessity: The Unmentionable World of Human Waste and Why It Matters
flying_wahini
(8,275 posts)Helps everything biodegrade BUT leaves traces of pepper in what is left behind.
The part where it removes tetracycline is intriguing tho. Is this a great thing or what?
Am I way off base?
NNadir
(38,035 posts)This said, it adds expense and environmental impact upstream.
There are times my mind superior treatment approaches, but they are not readily available at this time.
It bakes the educated and the the shit for brains alike:
February 08: 420.12 ppm
February 07: 419.55 ppm
February 06: 419.94 ppm
February 05: 420.46 ppm
February 04: 420.38 ppm
Last Updated: February 9, 2023
Recent Daily Average Mauna Loa CO2
msongs
(73,752 posts)NNadir
(38,035 posts)...and it my practice not to consider rote antinukes in that class of human beings, any more than I consider the closely related antivaxxers in that category, the temporal distance between those related events, and the quality of those lives in terms of health and experience in that temporal distance, matters.
To my disgust, I note that antinukes don't give a flying fuck who dies from anything, so long as humanity suffers under the weight of their rather idiotic paranoia related to radioactive things, irrespective of the physiological and related ethical outcomes.
Like I say, antinukes couldn't give a rat's ass how many people die each year from air pollution, so long as they can burn coal, oil and gas to run computers to wail about Fukushima.
If you ask one of these moral midgit gnomes how many people died from exposure to Fukushima radiation in the last eleven years, they generally decline to answer, change the subject or otherwise demonstrate their oppressive disconnection from reality.
In general, as stated, I regard these people with contempt. Their stupidity is nothing short of Trumpian.
I hope I'm being clear.
Have a nice weekend.
Response to NNadir (Original post)
Post removed